丝瓜视频无限观看IOS安卓,丝瓜视频色版本,丝瓜视频三级片,丝瓜视频污染APP

产品推荐

丝瓜视频无限观看IOS安卓Preciset丝瓜视频色版本
丝瓜视频无限观看IOS安卓Precise系列专为中小型机房设计的机房专用空调Precise...【详细】
MPS 10-100 kVA UPS
MPS系列UPS设备确保任何类型的负载,最大限度的保护和电能质...【详细】

联系丝瓜视频无限观看IOS安卓

服务热线
010-62104284

地址:北京市密云区高岭镇政府办公楼
王经理 13393261468
Q Q:514468705/1049705527
邮箱:jhcxkj@163.com

首页 > 丝瓜视频色版本 > 丝瓜视频色版本新闻 > 数据中心机房柴油发电机组容量选择和计算

数据中心机房柴油发电机组容量选择和计算

双击自动滚屏 发布者:丝瓜视频污染APP 发布时间:2017-01-12 09:33:41 阅读:次【字体:

在规模较大的数据中心机房,数台甚至十几台柴油发电机并列运行的情况越来越多。在市电中断时,柴油发电机除在最快的时间内能自起动外,还应该最大限度的满足应急负荷的起动及供电容量要求,若容量选择小,电动机起动时电压降过大,容量选得过大,则运行经济效益差。文中探讨了该如何选择单台柴油发电机的容量,选用几台柴油发电机并列才能既满足系统的应急要求,又不造成容量的浪费的问题。

柴油发电机是内燃发电机的一种,它以柴油为一次能源,柴油机为原动机,它有如下几个特点:

① 燃料价格便宜,容易保存;

② 构造简单,辅助设备少;

③ 起动迅速,带负荷和停机的动作时间短;

④ 操作维护简单、方便。

正是因为上述特点,柴油发电机在数据中心的使用范围也越来越广泛。随着数据中心机房规模的逐步扩大,高级别配电系统的数据中心机房也在成比例的增加,由于A级机房要求供电系统不能中断,所以,在规模较大的数据中心机房,数台甚至十几台柴油发电机并列运行的情况越来越多。在市电中断时,除在最快的时间内能自起动外,还应该最大限度的满足应急负荷的起动及供电容量的要求,若容量选择小,电动机起动时电压降过大。容量选得过大,则运行经济效益差。那么,该如何选择单台柴油发电机的容量呢?选用几台柴油发电机并列才能既满足系统的应急要求,又不造成容量的浪费呢?

1 柴油发电机的功率

(1) 持续功率(COP)(恒定负荷持续运行)

COP为在商定的运行条件下并按照制造商的规定进行维护保养,机组以恒定负载持续运行,且每年运行时间不受限制的最大功率。

(2) 基本功率(PRP)(变负荷持续运行)

PRP为在商定的运行条件下并按照制造商的规定进行维护保养,机组以可变负载持续运行,且每年运行时间不受限制的最大功率。

(3) 限时运行功率(LTP)

LTP为在商定的运行条件下并按照制造商的规定进行维护保养,机组每年运行时间可达500h的最大功率。

(4) 应急备用功率(ESP)

(变负荷限时运行)ESP为在商定的运行条件下并按照制造商的规定进行维护保养,在市电中断或在试验条件下,机组以可变负载运行且每年运行时间可达200h的最大功率。

数据中心机房的应急柴油发电机性能等级不应低于G3级;A级数据中心发电机组应按照基本功率(PRP)选择;B级数据中心发电机组的输出功率可按照限时运行功率(LTP)来选择。

2 选择柴油发电机的必要条件

选择柴油发电机的必要条件如下:

(1) 安装现场的环境温度、湿度和海拔高度

当使用环境的温湿度和海拔高度超过发电机的额定值时,发电机需要降容使用;

(2) 柴油发电机供电负荷总容量

需要所有柴油发电机供电负荷的容量数据,包括装机容量、负荷系数、功率因数等。电动机负荷还要给出台数、效率、起动电流倍数等参数;

(3) 起动顺序

①按照负荷的重要性分出起动的先后顺序;

②按照负荷大小及起动电流大小,同样重要的电动机容量大、起动电流大的优先。

③系统允许的电压降,常用电气设备端子的电压偏差允许值。

QQ截图20160623134642

电动机起动时,其端子电压应能保证被拖动机械要求的起动转矩,且在起动时,配电母线上的电压应符合下列要求:

电动机不频繁起动时,不宜低于标称电压的85%(数据中心机房在柴油发电机供电时,电动机属于不频繁起动的情况);

配电母线上未接照明或其他对电压下降敏感的负荷时,不应低于标称电压的80%;

配电母线上只有电动机时,可按照保证电动机起动转矩的条件决定;对于低压电动机,还应保证接触器线圈电压不低于释放电压(从产品样本中可以查到,查不到样本时,可按照70%考虑)。

3 柴油发电机的容量选择和计算

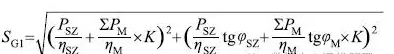
(1) 计算全部应急负荷的容量式中

QQ截图20160623113740

SG1——按所供全部应急负荷计算的发电机容量,kVA;PSZ——事故照明负荷,kW;ηSZ——事故照明负荷的效率;tgφSZ——事故照明负荷功率因数角的正切值;

PM——电动机的额定容量,kW;ηM——电动机的额定效率,通常可以取0.8~0.9,或由产品样本中查得;tgφM——电动机功率因数角的正切值;K——需要系数,在数据中心机房应急情况下取1.

(2) 考虑发电机过负荷能力的计算式中

QQ截图20160623113756

SG2——按满足需要起动的大容量电动机起动时计算的发电机容量,kVA;

P0——PMmax投运前已投入运行的负荷容量,kVA;

cosφ0——P0负荷的功率因数;

sinφ0——P0负荷的功率因素角的正弦值;

PMmax——投入的最大容量电动机的额定容量,kW;

cosφMmax——最大容量电动机的起动功率因数;

sinφMmax——最大容量电动机的起动功率因数角的正弦值;

KG——发电机的过负荷倍数,一般可取1.5;

β'——相当于PMmax电动机起动时的kVA值与电动机额定容量kW值之比;

β'=β/ηmn×cosφmn

上式中,β——电动机的起动电流倍数;

ηmn——最大容量电动机的效率;

cosφmn——最大容量电动机的功率因数;

Kq——起动电流倍数,详见表2。

QQ截图20160623113808

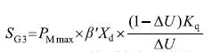
(3)按起动时允许电压降计算

QQ截图20160623113816

式中,SG3——满足大容量电动机起动时允许电压降计算的发电机容量,kVA;

Xd——发电机的电抗,为发电机暂态电抗X'd和次暂态电抗X''d的算术平均值,即Xd=(X'd+X''d)/2,当查不到产品样本时,Xd一般可取0.15~0.3;

ΔU——起动时母线允许的电压降,一般可取0.25~0.3V;

按照前面三种要求算出柴油发电机容量后,如果SG2、SG3比SG1大的较多,则说明电动机的起动方式需要进行适当的改变。在选择柴油发电机容量的时候,需要分析是电动机降压起动选择小容量发电机组,还是电动机直接起动选择较大容量发电机组,应该根据综合技术经济比较来确定。

4 数据中心机房柴油发电机选择实例

某数据中心机房负荷见表3。

QQ截图20160623113832

QQ截图20160623113844

其中动力负荷当中,制冷主机功率为340.2kW(容量最大电动机),水泵为45kW,均为三用一备,柴油发电机的单台容量及台数选择计算如下:

QQ截图20160623113904

(1) 总的应急负荷计算

从上述计算当中可以发现,此处的柴油发电机总容量已经超过了2500kW,所以其电压等级应为10.5kV.从负荷计算表中不难发现,2层与3、4层机房的机柜用电量接近,所以可以把动力负荷与机房UPS负荷分为两个容量接近的部分,然后计算单台柴油发电机的容量。

(2 )按照发电机过负荷能力选择的计算

起动时柴油发电机1所带负荷:2层机房负荷+2层动力负荷+两台冷水机组+两台水泵=1669.64kW,起动时柴油发电机2所带负荷:3、4层机房负荷+3、4层动力负荷+一台冷水机组+一台水泵+插座=1540.27kW。

可以看出,柴油发电机1所带负荷大容量电动机台数多,所以,可以根据柴油发电机1的计算结果确定单台柴油发电机的容量,计算结果如下:

QQ截图20160623113922

从上述计算可以看出,在冷冻机采用软起动方式,起动系数为3时,单台柴油发电机的容量可以选择2000kW。

(3)按照母线允许的电压降计算

QQ截图20160623113904

综上所述,本例当中的柴油发电机采用10.5kV,2000kW柴油发电机并机方式或者采用单母线分段接线方式。

5 结束语

数据中心机房柴油发电机系统多使用柴油发电机并机运行的方式,所以在计算柴油发电机容量的时候,需要先对由柴油发电机所带负荷进行合理的分组,根据分组容量计算单台容量,再确定台数,经多方面比较后确定一个既保证系统可靠稳定,又保证良好经济效益的方案。



在线咨询 电话咨询
网站地图